Les rapports des experts MM Venet et Belotti

 
 
 

Les conclusions du pré-rapport          Le rapport final

 
     
 

Le pré-rapport  de contre-expertise a été transmis au juge d'instruction François  Guichard le 22 décembre 1992 mais aux parties civiles seulement 18 mois plus tard, le 18 avril 1994 ....!

 
   
     
   
     
   
     
   
     
   
     
   
     
   
     
   
   
     
 

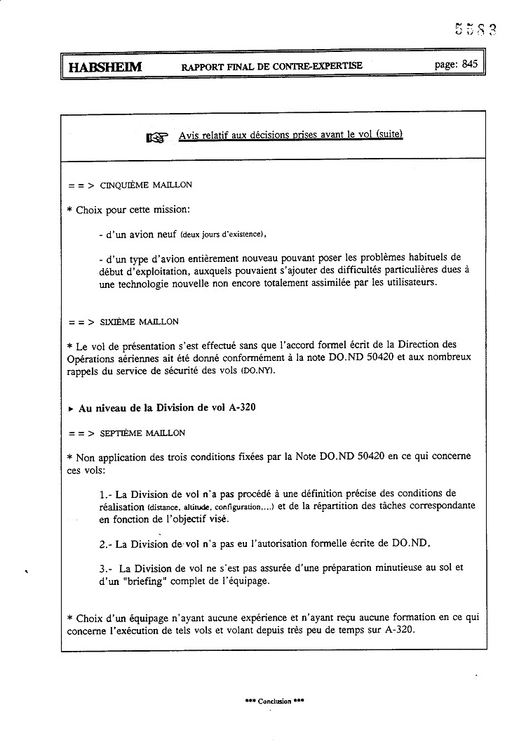
Le rapport final de contre-expertise Venet-Belotti